With the nation’s first new nuclear reactor in thirty years having come online, an increasing number of experts view carbon-free nuclear energy as an “irreplaceable” part of the solution to climate change.
ELVIS WAS SHIMMYING, MANUFACTURERS WERE TOUTING the miracle of plastics, and streamlined Packards were humming on new interstate highways when journalists first predicted that nuclear energy would fuel our future—powering everything from dishwashers to interplanetary travel. In 1958, the first commercial reactor in the United States went into service, part of a Space Age wave of American technological ingenuity. But by the 1980s, nuclear had largely lost its hold on the popular imagination. The discovery of new fossil-fuel deposits diminished our need for alternative energy sources. A series of large-scale reactor accidents, driven by human error, stigmatized nuclear well out of proportion to its actual risks. The high costs of constructing a nuclear plant were also a deterrent. But the nation’s existing reactors (their number peaked at 112 in 1990; today there are 93 in 28 states) continued to play a vital role. Over the past three decades, they have steadily, cheaply, and safely produced some 20 percent of America’s electricity.
Today, climate change has made nuclear energy newly, urgently relevant—“an irreplaceable part of the solution to the greatest energy threat in the history of mankind,” writes the Pulitzer Prize-winning atomic historian Richard Rhodes. Every strategy the Intergovernmental Panel on Climate Change (IPCC) envisions for effectively addressing climate change requires a massive increase (between 59 and 501 percent by 2050) in America’s reliance on nuclear power. The Biden Administration has invested $6 billion in a new program supporting nuclear projects. The nation is now on the cusp of a second nuclear era, one in which both the private and public spheres must play vital roles.
DID YOU KNOW?
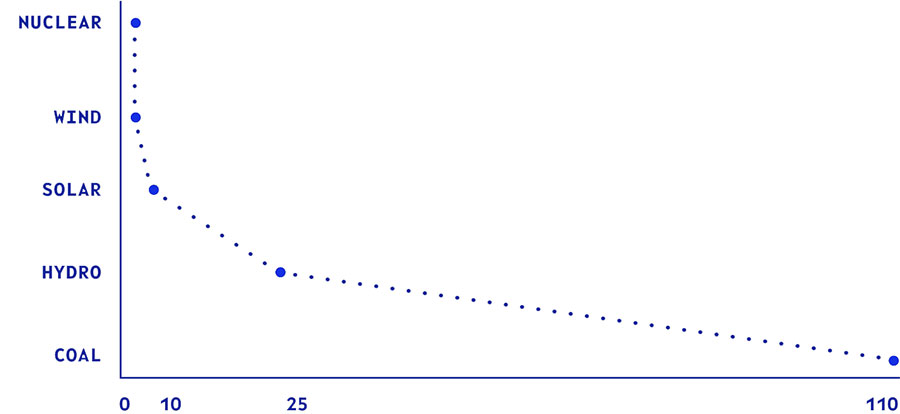
One kilowatt hour of nuclear-generated electricity has a carbon footprint of 4 grams of CO2 (this is due to fossil fuels used in the mining of raw materials). This compares with 4 grams for wind, 6 grams for solar energy, 24 grams for hydro—and 109 grams for coal.
Source: pehl, m., arvesen, a., humpenöder, f. Et al. Understanding future emissions from low-carbon power systems by integration of life-cycle assessment and integrated energy modelling. Nat energy 2, 939–945 (2017).
Steffen schlömer (ed.), technology-specific cost and performance parameters, annex iii of climate change 2014: mitigation of climate change. Contribution of working group iii to the fifth assessment report of the intergovernmental panel on climate change (2014)
NO NEW REACTOR PROJECT PLANNED SINCE 1979 has been successfully completed—some 24 fell short between 2007 and 2009 alone, largely because of high construction costs—except one: Vogtle Units 3 and 4 in Waynesboro, Georgia, just outside of Augusta.
Vogtle 3 and 4 are the first newly constructed units to be built in the United States in more than 30 years. Chris Womack, chairman, president and CEO of Southern Company, whose subsidiary Georgia Power oversees the project, says the two reactors comprise “one of the largest and most important infrastructure investment projects currently underway in the U.S.” Plant Vogtle, consisting of Units 3 and 4 and two other units built in 1987 and 1989, respectively, is the largest generator of clean energy in the United States.
“The resurgence of America’s nuclear industry starts here in Georgia,” announced then-Energy Secretary Steven Chu at the outset of construction of Units 3 and 4. As of January 2023, ten U.S. states were planning or considering a total of 16 advanced nuclear projects, according to policy group Nuclear Energy Institute (NEI). But why did the Vogtle project—which has taken more than ten years to complete, and faced substantial delays and costs due to supply-chain, licensing, and other challenges—succeed when so many others did not? Throughout, says DeLeah Lockridge, who worked as a site project engineer on Units 3 and 4, the receptive federal regulatory environment and the state of Georgia greatly supported the project. So did the fact that the Southern Company system “is no stranger to nuclear,” as the longtime operator of two other plants in the Southeast. “Having experience lends strongly to their success,” says Lockridge, now of Oak Ridge National Laboratory.
Click through to learn more about Plant Vogtle Units 3 and 4, major milestones, and the renewable energy sources that complement nuclear power.
Southern Company delivers energy to homes and businesses across the country. In addition to nuclear energy, which it has been supplying for 40 years, its diverse renewable-energy portfolio includes hydro, wind, solar, and large-scale energy storage.
Vogtle 3 & 4 will help meet growing energy needs in the southeastern United States, where electrical demand is projected to grow by 30 percent over the next 15 years. The population of Georgia alone is expected to increase by nearly 50 percent by 2040.
Fueled by state-of-the-art Westinghouse AP1000 pressurized-water reactors, Vogtle 3 and 4 each generate enough carbon-free electricity to power some 500,000 homes and businesses for an estimated 60 to 80 years. This electricity’s only atmospheric byproduct is water vapor, produced when fission heats water to spin a turbine. The reactors’ safety features reflect the latest, third-generation “advanced-passive” safety technology, which centers around “forces that can’t fail,” says Lockridge—natural circulation, gravity, and others.
In the unlikely event of an accident, the reactors can maintain themselves for 72 hours with no need for operator intervention. Scientists point out that the dangers of a nuclear accident have been grossly distorted; historically, the consequences of a meltdown have been far less severe than those of other energy-related disasters. Under everyday conditions, nuclear energy actually releases less radiation into the atmosphere than any other major energy source. James Hansen, the climate scientist known as “the father of global warming,” calls nuclear “our safest form of energy.”
It’s also our most reliable. “Nuclear isn’t subject to unpredictable weather or climate conditions,” says Southern Company’s Womack. According to the U.S. Energy Information Administration, during the 365 days of 2022, U.S. hydroelectric facilities were able to provide power on 137 days (37.4 percent of the year), wind turbines on 132 days (36.1 percent), and solar-electricity photovoltaic arrays on just 91 days (24.8 percent). Even coal and natural-gas plants generated electricity on only about 191 days (52.3 percent). In contrast, nuclear power plants operated at full power on 338 days (92.6 percent) of the year (on the other 27 days, they were taken offline for maintenance). Nuclear’s capacity to deliver uninterrupted power has enabled it to supply nearly one-half of the nation’s clean energy, more than any renewable source.
“Georgia, as part of a very strong Southeastern economy, is growing quickly with more businesses and residents each year. We work with the state to ensure we can meet the energy needs of our customers not only tomorrow, but 20 years from now – and the carbon-free energy from Plant Vogtle is a key piece of that strategy,” said Kim Greene, chairman, president and CEO of Georgia Power. “We believed from the start that this was a long-term investment that would benefit our customers and the state of Georgia for decades to come, and we’re already seeing that value as we meet rapidly increasingly demand and continue the transition of our energy mix to include more renewable resources and technologies such as battery energy storage systems.”
FOR YEARS, CRITICS HAVE COMPLAINED that nuclear power is more expensive than other forms of clean energy, largely due to the enormous cost of building a reactor. “That’s what has really hurt nuclear power,” says Valerie Thomas, Anderson-Interface Chair of Natural Systems at Georgia Tech. Indeed, Vogtle 3 and 4 have been called “the most expensive power plant ever built on earth.” But such arguments fail to account for the hidden costs (the so-called “externalities”) of fossil-fuel emissions—an estimated $25 trillion worldwide.
In the U.S., these costs break down as follows: pollution-related health impacts, from cancers to respiratory diseases (up to $886.5 billion annually, according to one EPA scientist); extreme-weather events ($454.3 billion between 2020 and 2022 alone, according to NOAA data); and fossil-fuel subsidies (as much as $20 billion annually, per the Environmental and Energy Study Institute). Once these expenses and subsidies are taken into account, nuclear energy is highly competitive with wind, solar, and hydro, says Dan Gabriel Cacuci, director of the University of South Carolina’s Center of Economic Excellence in Nuclear Science and Energy.
Nuclear has additional economic benefits, particularly in communities hollowed out by the closings of coal-fired facilities. For instance, in addition to the nine thousand jobs associated with their construction, Units 3 and 4 will support 800 permanent, high-paying positions for engineers, mechanics, control-room operators, chemists, electricians, security officers and others. The plant will also generate jobs in the wider community—66 for every 100 new nuclear positions, according to the NEI—significantly benefiting the state and county tax base. In formerly coal-based economies, Cacuci acknowledges, jobs wouldn’t be replaced on a one-to-one basis, but he observes that reactor operators “would be better paid [than miners] and less exposed to hazardous working conditions.” Overall, he says, “I believe that the conditions for the local population would be better off economically and environmentally.”
And nuclear offers the realistic possibility of fulfilling the long-sought objective of American energy autonomy. The uranium needed to fuel reactors is abundantly available in the U.S. and its allied nations, such as Australia and Canada. Its costs are more stable than those of other fuel sources—a key geopolitical advantage in a world in which oil production and prices are often used as a big stick.
Nuclear power, says environmentalist Kirsty Gogan, “could be the largest carbon-reduction opportunity on the planet.” Estimates vary in terms of what will be necessary to achieve the Biden Administration’s goals of 100 percent clean electricity by 2035 and net zero by 2050. If current trends continue, reports the IPCC, reaching our climate objectives could call for as much as a sixfold increase in global nuclear capabilities. This would mean multiplying the number of reactors worldwide from about 450 to about 2700. What is clear is that—as James Hansen and two of his peers argued in a widely circulated 2013 open letter—“in the real world, there is no credible path to climate stabilization that does not include a substantial role for nuclear power.” “Nuclear energy must play a major role in the energy future of our country,” says Womack. “It’s vital that private industry collaborates with government leaders to make this a reality.”